Parental Social and Musical Characteristics, the Home Music Environment, and Child Language Development in Infancy

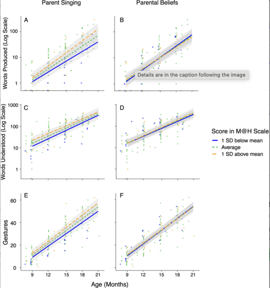
ABSTRACT Parents use music, especially singing, to interact with their young children, supporting parent-child bonding and social communication. Little is known about the parental attributes that support musical interactions with their infants. In this exploratory study, we analyzed self-report data from 43 caregiver/infant dyads at up to four time points (9, 12, 15, and 18 months) to assess parent social motivation and musical training as predictors of the home music environment overall, parental singing, and parental beliefs in the benefits of music. We also investigated the home music environment as a predictor of language development longitudinally. Parent social motivation was a stronger predictor of the home music environment than musical training. Parents' social motivation was positively related to parental singing, beliefs, and overall music environment, while musical training was only related to their beliefs. Furthermore, parent singing and overall home music, but not parental beliefs, were associated with infants' vocabulary comprehension, production, and gestures. Results highlight that music engagement in early childhood is fundamentally a social experience and emphasize the importance of parents' active participation (vs. only their beliefs) in musical experiences with their infant. The social nature of music experiences in infancy may contribute to relationships between the home music environment and child language development. 
Check out the full article at: https://onlinelibrary.wiley.com/doi/full/10.1111/infa.70008
 

Parent singing (not parental beliefs) predicts domains of child language development.