InCHORRRuS: Infant-Directed Communication Highlights and Organizes Repetition and Redundancy Through Rhythmic Structure
Camila Alviar, Warren Jones, Miriam Lense
January 21, 2026
https://nyaspubs.onlinelibrary.wiley.com/doi/full/10.1111/nyas.70147
In the InCHORRRuS (Infant-directed (ID) Communication Highlights and Organizes Repetition and Redundancy through Rhythmic Structure) framework, increased rhythmicity in ID speech and the beat-based metrically structured rhythmicity in ID song naturally organize the multimodally redundant and repetitive cues in the caregiver's communicative signals, supercharging their saliency by increasing their predictability. Rhythmicity naturally modulates infant attention, guiding it to those communicatively rich times and scaffolding caregiver-infant coordination.
Music and Parental Wellbeing: A Position Paper
The Music and Parental Wellbeing Research Network
January 21, 2026
https://journals.sagepub.com/doi/full/10.1177/20592043251351761
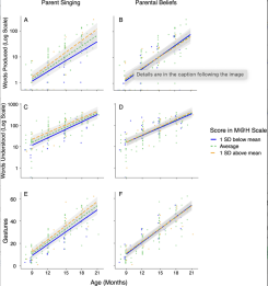
Parental Social and Musical Characteristics, the Home Music Environment, and Child Language Development in Infancy
Ashley Boyne, Camila Alviar, and Miriam Lense
January 21, 2026
https://onlinelibrary.wiley.com/doi/full/10.1111/infa.70008
ABSTRACT Parents use music, especially singing, to interact with their young children, supporting parent-child bonding and social communication. Little is known about the parental attributes that support musical interactions with their infants. In this exploratory study, we analyzed self-report data from 43 caregiver/infant dyads at up to four time points (9, 12, 15, and 18 months) to assess parent social motivation and musical training as predictors of the home music environment overall, parental singing, and parental beliefs in the benefits of music.
Storytime with the Nashville Symphony
June 2, 2023
On April 1st, in conjunction with the Nashville Symphony, the Vanderbilt Music Cognition lab hosted an interactive music and storytelling event for local families: Storytime with the Nashville Symphony.
Mindful Songwriting: Songs from Parents/Caregivers
November 17, 2022
In our Mindfulness-Based Music and Songwriting study, caregivers/parents of children with developmental disabilities learned and applied mindfulness principles through the practice of creating original songs about their children and themselves. Songwriting focused on applying mindfulness principles such as paying attention without judgment and loving kindness.All songs are shared with participant permission.Mindfulness / Mindful Songwriting Information
Integrated Parent-Child Music Classes for Preschoolers with and without ASD: Parent Expectations and Experiences
Lense M, Liu T, Booke L, Crawley Z, Beck S
July 26, 2022
https://nyaspubs.onlinelibrary.wiley.com/doi/full/10.1111/nyas.14875?casa_token=ue8qlmlWOz0AAAAA%3A717M55qUiY_6B8uB2dYew5F8TWPk0hqkfVVBL7U6hF7DOBfMOCKtmcv0CJcCJ67FoAIA7fzcgaPUwHlY
Integrated recreational programs designed to support neurodiverse children and their families are important vehicles for community participation. In this mixed-methods study, we investigated the mechanisms by which parent-child music classes for autistic and neurotypical children can support community participation. Parents of autistic (n=33) and typically developing (TD; n=28) preschoolers were interviewed about their expectations for and experiences of participating in a 12-week psychoeducational parent-child music program.
ACM Tempo Magazine: Music Mends
Libby Gardner (interview with Miriam Lense, p. 22, 24)
https://issuu.com/acm_pubs/docs/temposp22_whole/22
Academy of Country Music Tempo Magazine, Spring 2022 issue: Vanderbilt’s Music Cognition Lab Co-Director, Dr. Miriam Lense, highlights the research and valuable programs her team is working on to help uncover the benefits of using music for healing.
Parent-child nonverbal engagement during read versus sung book-sharing in preschoolers with and without ASD
Talia Liu
January 8, 2022
https://doi.org/10.1177/03057356211058781
Providing natural opportunities that scaffold interpersonal engagement is important for supporting social interactions for young children with autism spectrum disorder (ASD). Musical activities are often motivating, familiar, and predictable, and may support both children and their interaction partners by providing opportunities for shared social engagement.
Survey of the Home Music Environment of Children with Various Developmental Profiles
Selena Steinberg
June 28, 2021
https://authors.elsevier.com/c/1dMNDh~JIdcQN
Families with young children with and without developmental disabilities often engage in musical experiences in the home. These parent-child musical activities are associated with positive outcomes for children and parents andmay be a context to help foster strong parent-child relationships. However, little is known about how musical experiences differ across diagnostic groups or their relevance to parent-child attachment.
Mental Health and Music Engagement: Review, Framework, and Guidelines for Future Studies
Dan Gustavson
June 3, 2021
https://www.nature.com/articles/s41398-021-01483-8
Is engaging with music good for your mental health? This question has long been the topic of empirical clinical and nonclinical investigations, with studies indicating positive associations between music engagement and quality of life, reduced depression or anxiety symptoms, and less frequent substance use. However, many earlier investigations were limited by small populations and methodological limitations, and it has also been suggested that aspects of music engagement may even be associated with worse mental health outcomes.